Figure from article: The electrochemical route...
 
KEYWORDS
TOPICS
ABSTRACT
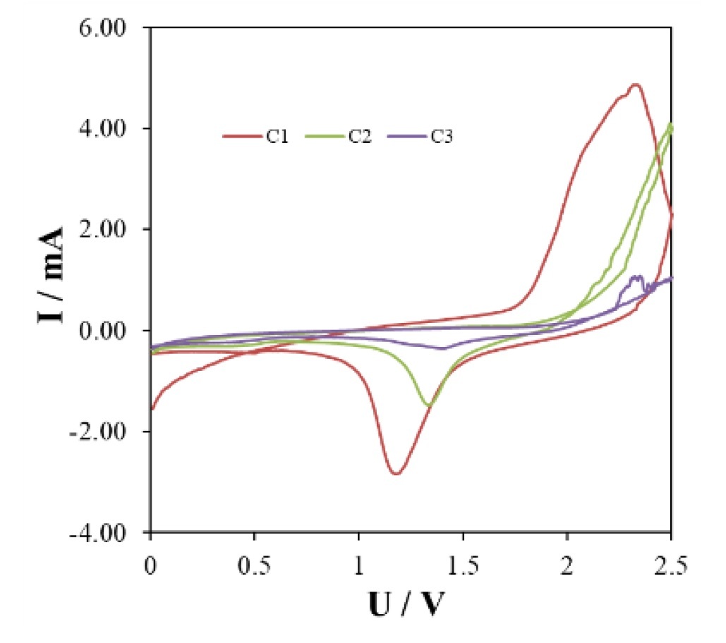
With the growing trend toward electrification of urban transportation, electric mopeds are emerging as a key area for implementing alternative energy storage solutions. Among these, sodium-ion cells represent a promising and cost-effective alternative to traditional lithium-based batteries. Environmental regulations, limited lithium resources, and increasing market prices are driving the search for efficient and sustainable energy sources, making sodium-ion technology an attractive candidate. These cells are gaining significant attention from researchers and technologists due to their potential for widespread adoption. Recent studies have focused on the use of metal sulphides as viable anode materials in Na-ion cells, as well as on carbon materials derived from biomaterials for use in electrochemical supercapacitors. Capacitive properties of these materials were evaluated using techniques such as galvanostatic charge-discharge (GCD) and cyclic voltammetry (CV). The cycling tests demonstrated high reversibility of reactions and strong specific capacitance, indicating good electrochemical performance. GCD analysis of sodium-based systems revealed high initial potentials and efficiency exceeding 90%, suggesting their suitability for long-term applications. Additionally, tests of supercapacitors indicated pseudocapacitive behaviour, further confirming the effectiveness of the studied materials. Overall, the results emphasize the strong potential of sodium-ion technologies for energy storage, particularly in applications requiring durability, such as electric mopeds.
REFERENCES (25)
1.
Cao K, Jin T, Yanga L, Jiao L. Recent progress in conversion reaction metal oxide anodes for Li-ion batteries. Mater Chem Front. 2017;1:2213-2242. https://doi.org/10.1039/C7QM00....
 
2.
Eduardo S, Recklies EA, Nikolic M, Severengiz S. A comparative life cycle assessment of end-of-life scenarios for light electric vehicles: a case study of an electric moped. Sustainability. 2025;17(15):6681. https://doi.org/10.3390/su1715....
 
3.
European Commission. White Paper on transport: Roadmap to a Single European Transport Area – Towards a competitive and resource efficient transport system. 2011 (accessed on 2025 Jun 16). https://eur-lex.europa.eu/lega....
 
4.
European Environment Agency (EEA). Greenhouse gas emissions from transport in Europe. 2022 (accessed on 2025 Jun 16). https://www.eea.europa.eu/en/a...
 
5.
Khan HR, Ahmad AL. Supercapacitors: overcoming current limitations and charting the course for next-generation energy storage. J Ind Eng Chem. 2025;141:46-66. https://doi.org/10.1016/j.jiec....
 
6.
Kinkelin SJ, Röder F, Vogel K, Steimecke M, Bron M. A fundamental study on cyclic voltammetry at porous carbon thin-film electrodes, Electrochim Acta. 2024;488:144183. https://doi.org/10.1016/j.elec....
 
7.
Koossalapeerom T, Satiennam T, Satiennam W, Leelapatra W, Seedam A, Rakpukdee T. Comparative study of real-world driving cycles, energy consumption, and CO₂ emissions of electric and gasoline motorcycles driving in a congested urban corridor. Sustainable Cities and Society. 2019;45:619-627. https://doi.org/10.1016/j.scs.....
 
8.
Korzilius O, Borsboom O, Hofman T, Salazar M. Optimal design of electric micromobility vehicles. 2021 IEEE International Intelligent Transportation Systems Conference (ITSC); 2021:1677-1684. https://doi.org/10.1109/ITSC48....
 
9.
Kurc B, Pigłowska M, Fuć P, Szymlet N, Gross X, Piasecki A. Utilizing kraft lignin–derived hard carbon as an innovative bio electrode in electrochemical capacitors. Ionics (Kiel). 2024;30(11):7431-7451. https://doi.org/10.1007/s11581....
 
10.
Kurc B, Pigłowska M, Rymaniak Ł, Fuć P. Modern nanocomposites and hybrids as electrode materials used in energy carriers. Nanomaterials. 2021;11(2):538. https://doi.org/10.3390/nano11....
 
11.
Laskowski P, Zimakowska-Laskowska M, Zasina D, Wiatrak M. Comparative analysis of the emissions of carbon dioxide and toxic substances emitted by vehicles with ICE compared to the equivalent emissions of BEV. Combustion Engines. 2021;187(4):102-105. https://doi.org/10.19206/CE-14....
 
12.
Li H, Yuan D, Tang C, Wang S, Sun J, Li Z et al. Lignin-derived interconnected hierarchical porous carbon monolith with large areal/volumetric capacitances for supercapacitor. Carbon. 2016;100:151-157. https://doi.org/10.1016/j.carb....
 
13.
Mei J, Han J, Wu F, Pan Q, Zheng F, Jiang J et al. SnS@C nanoparticles anchored on graphene oxide as high-performance anode materials for lithium-ion batteries. Front Chem. 2023;10:1105997. https://doi.org/10.3389/fchem.....
 
14.
Mordor Intelligence. Electric Scooter and Motorcycles Market – Growth, Trends, and Forecasts (2024–2029). 2024 (accessed on 2025 Jun 16). https://www.mordorintelligence....
 
15.
Pielecha I, Sidorowicz M. Effects of mixture formation strategies on combustion in dual-fuel engines – a review. Combustion Engines. 2021;184(1):30-40. https://doi.org/10.19206/CE-13....
 
16.
Rudnicka E, Galiński M, Jakóbczyk P. Enhanced electrochemical performance of SnS–PPy–carbon black composite with a locust bean gum as a binder as in anode in lithium ion batteries. J Appl Electrochem. 2024;54(9):1945-1956. https://doi.org/10.1007/s10800....
 
17.
Ruppert J, Voß P, Ihlbrock L, Palm J, Lux S, Leker J. Analyzing material and production costs for lithium-ion and sodium-ion batteries using process-based cost modeling – CellEst 3.0. J Power Source Adv. 2025;36:100190. https://doi.org/10.1016/j.powe....
 
18.
Sawczuk W, Merkisz-Guranowska A, Rilo Cañás AM, Kołodziejski S. New approach to brake pad wear modelling based on test stand friction mechanical investigations. Eksploat Niezawodn. 2022;24(3):419-426. https://doi.org/10.17531/ein.2....
 
19.
Schelte N, Severengiz S, Schünemann J, Finke S, Bauer O, Metzen M. Life cycle assessment on electric moped scooter sharing. Sustainability. 2021;13(15):8297. https://doi.org/10.3390/su1315....
 
20.
Statista. Number of motor vehicles worldwide from 2006 to 2023. Statista; 2024 (accessed on 2025 Jun 16). https://www.statista.com/stati...
 
21.
Sun X, Luo F. Facile fabrication of large-area CuO flakes for sodium-ion energy storage applications. Molecules. 2024;29:2528. https://doi.org/10.3390/molecu....
 
22.
Szwajca F, Pielecha I, Mielcarzewicz D. Experimental investigation on the influence of passive/active pre-chamber injection strategy on the hydrogen knock limit. Combustion Engines. 2025;203(4):32-41. https://doi.org/10.19206/CE-20....
 
23.
Vafaeian S, Fattah-Alhosseini A, Keshavarz MK, Mazaheri Y. The influence of cyclic voltammetry passivation on the electrochemical behavior of fine and coarse-grained AISI 430 ferritic stainless steel in an alkaline solution, J Alloys Compd. 2016;677:42-51. https://doi.org/10.1016/j.jall....
 
24.
World Health Organization (WHO). Ambient (outdoor) air quality and health. 2021 (accessed on 2025 Jun 16). https://www.who.int/news-room/....
 
25.
Zheng H, Pei M, Qiu R, Ma D, Deng S, Jiao X et al. High-capacity and high-rate sodium storage of CoS2/NiS2@C anode material enabled by interfacial C-S covalent bond and Mott–Schottky heterojunction. Chem Eng J. 2023;476:146801. https://doi.org/10.1016/j.cej.....
 
eISSN:2658-1442
ISSN:2300-9896
Journals System - logo
Scroll to top