Analysis of fuel economy indicators of a wheeled tractor during transportation of partially filled tankers
More details
Hide details
1
Department of Car and Tractor Industry, National Technical University “Kharkiv Polytechnic Institute”, Ukraine
2
Department of Engines and Hybrid Power Plants, National Technical University “Kharkiv Polytechnic Institute”,, Ukraine
3
Department of Agroengineering, Sumy National Agrarian University, Ukraine
4
Department of Tractors and Automobiles, National University of Life and Enviromental Sciences of Ukraine, Ukraine
Submission date: 2026-01-09
Final revision date: 2026-03-16
Acceptance date: 2026-04-10
Online publication date: 2026-04-22
Corresponding author
Serhii Kravchenko
Department of Engines and Hybrid Power Plants, National Technical University “Kharkiv Polytechnic Institute”,, Kharkiv, Ukraine
KEYWORDS
TOPICS
ABSTRACT
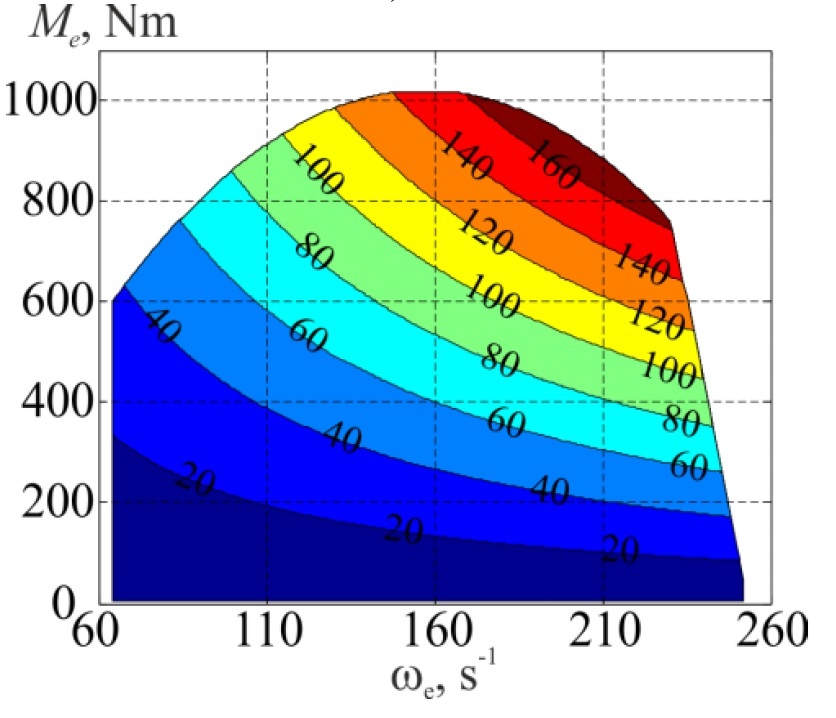
This study examines the fuel performance characteristics of a wheeled tractor transporting a trailer tank under varying load conditions within standardized driving cycles (ELR, EPA, and NRTC). A mathematical model of the tractor–trailer system was developed in MATLAB/Simulink, incorporating the dynamics of the FPT NEF 67 internal combustion engine, the transmission and wheel drives, as well as the effects of fluid redistribution in the tank. The model enables evaluation of instantaneous fuel consumption, specific fuel consumption, effective power, and engine efficiency under dynamic operating modes. Particular attention is given to the impact of fluid sloshing on energy expenditure, which is most pronounced at a tank fill height of 1.3 m (out of 1.6 m), corresponding to resonance conditions. The results demonstrate that the dynamic characteristics of the driving cycles have a significant impact on additional fuel consumption: NRTC yields the highest relative increase (9.22%), EPA the highest absolute increase (6.76%), and ELR the lowest (4.72%). These findings provide a basis for optimizing tractor operation during liquid cargo transport and for assessing the potential benefits of hybridizing tractor transmission systems in transport applications.
REFERENCES (20)
2.
Antoshchenkov R, Halych I, Nykyforov A, Cherevatenko H, Chyzhykov I, Sushko S et al. Determining the influence of geometric parameters of the traction-transportation vehicle’s frame on its tractive capacity and energy indicators. East Eur J Enterp Technol. 2022;2(7):60-67.
https://doi.org/10.15587/1729-....
4.
European Commission. Commission delegated regulation supplementing Regulation (EU) 2016/1628 with regard to technical and general requirements relating to emission limits and type-approval for internal combustion engines for non-road mobile machinery. Brussels 2016 [cited 2026 Jan 9].
https://eur-lex.europa.eu/lega....
6.
Götz K, Kusuma A, Dörfler A, Lienkamp M. Agricultural load cycles: Tractor mission profiles from recorded GNSS and CAN bus data. Data Brief. 2025;60:111494.
https://doi.org/10.1016/j.dib.....
7.
Jo S, Kim HJ, Kwon SI, Lee JT, Park S. Assessment of energy consumption characteristics of ultra-heavy-duty vehicles under real driving conditions. Energies. 2023;16:2333.
https://doi.org/10.3390/en1605....
8.
Kolodnenko V, Shyman A, Kalinin Y, Kuchuk N. Synthesis of the theory of motion of solid bodies filled with bulk substances for fault-tolerant identification of their parameters. 13th Int Conf Dependable Systems, Services and Technologies (DESSERT); 2023 October13-15; Athens. IEEE; 2023:1-6.
https://doi.org/10.1109/DESSER....
9.
Kozhushko A. Hydrodynamics analysis on partially filled agricultural tanks by driving cycle of transportation. Cioboată DD (ed). International Conference on Reliable Systems Engineering (ICoRSE). Lecture Notes in Networks and Systems. 2023;762:259-270. Cham, Springer.
https://doi.org/10.1007/978-3-....
10.
Kozhushko A, Pelypenko Y, Kravchenko S, Danylenko V. Improving the procedure for modeling low frequency oscillations of the free surface liquid in a tractor tank. East Eur J Enterp Technol. 2023;122(7):61-68.
https://doi.org/10.15587/1729-....
11.
Kubín K, Pexa M, Holúbek M. Calculation model of the tractor transport set – economic and environmental indicators. Res Agric Eng. 2021;67(2):65-73.
https://doi.org/10.17221/51/20....
12.
Lebedev A, Shuliak M, Khalin S, Lebedev S, Szwedziak K, Lejman K et al. Methodology for assessing tractor traction properties with instability of coupling weight. Agriculture. 2023;13:977.
https://doi.org/10.3390/agricu....
14.
Rahman SMA, Fattah IMR, Ong HC, Ashik FR, Hassan MM, Murshed MT et al. State-of-the-art of establishing test procedures for real driving gaseous emissions from light- and heavy-duty vehicles. Energies. 2021;14:4195.
https://doi.org/10.3390/en1414....
15.
Reza S, Hassan S. Numerical simulation of half-full cylindrical and bi-lobed storage tanks against the sloshing phenomenon. Ocean Eng. 2022;266:112896.
https://doi.org/10.1016/j.ocea....
16.
Scolaro E, Beligoj M, Estevez MP, Alberti L, Renzi M, Mattetti M. Electrification of agricultural machinery: a review. IEEE Access. 2021;9:164520-41.
https://doi.org/10.1109/ACCESS....
17.
United States Department of Agriculture. Agricultural Marketing Service. USDA agri-food supply chain assessment. Washington 2022 [cited 2026 Jan 9].
https://www.ams.usda.gov/sites....
18.
Vezirov CZ, Atanasov AZ, Nikolova PD, Hristov KH. Informational support for agricultural machinery management in field crop cultivation. Agriculture. 2025;15:1356.
https://doi.org/10.3390/agricu....
19.
Wang W, Feng J, Wan W, Zhang P, Yang S. Modeling and analysis of the kinetic influence of liquid sloshing characteristics on high-clearance sprayers. Discrete Dyn Nat Soc. 2021;9926962:15.
https://doi.org/10.1155/2021/9....
20.
Yang H, Wu F, Gu F, Xu H, Shi L, Zhou X et al. Electric tractors in China: current situation, trends, and potential. World Electr Veh J. 2025;16:486.
https://doi.org/10.3390/wevj16....